Goal:

Evaluate the dimensional accuracy and capability of my 3D printer.

Requirements:

  • Collect 40 samples for X, Y, and Z dimensions on a calibration cubes.
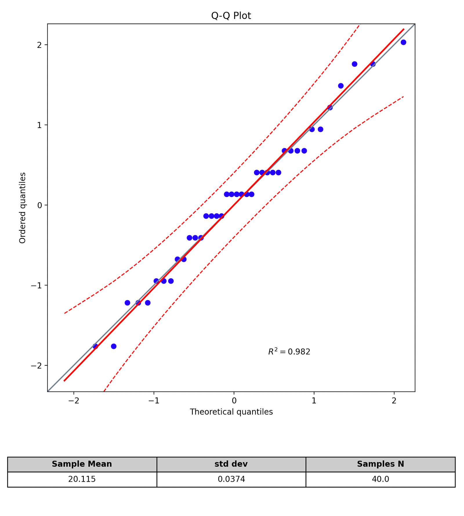
  • Verify that the data follows a normal distribution.
  • Use statistical analysis to determine the printer's process capability.
  • Establish a baseline for monitoring drift over time.
raspberry pi enclosure exploded view

Analysis Highlights:

  • Measured height from a flat surface for consistency.
  • Confirmed normal distribution using the Shapiro-Wilk test and QQ plot.
  • Defined lower and upper specification limits (LSL, USL) as ±3 standard deviations, ensuring that 99.73% of measurements fall within the range, aligning with standard statistical process control practices.
  • Calculated Cp, CpL, CpU, and Cpk values to assess process capability.
raspberry pi enclosure disassembled

Outcome:

Successfully established a baseline capability assessment for the 3D printer. This allows for tracking dimensional drift over time, improving maintenance and recalibration scheduling to ensure consistent print accuracy.

raspberry pi enclosure